상품 이미지 새창 보기

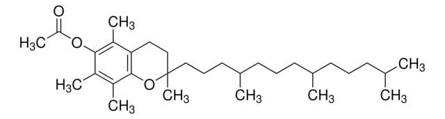
α-Tocopherol acetate European Pharmacopoeia (EP) Reference Standard