상품 이미지 새창 보기

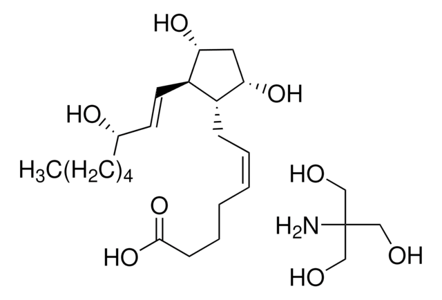
Prostaglandin F₂α tris salt synthetic, suitable for cell culture