상품 이미지 새창 보기

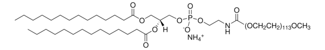
14:0 PEG5000 PE Avanti Research™ - A Croda Brand 880210P, powder