상품 이미지 새창 보기

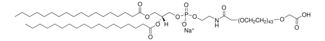
DSPE-PEG(2000) Carboxylic Acid Avanti Research™ - A Croda Brand 880135P, powder