상품 이미지 새창 보기

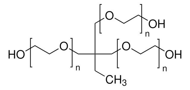
Trimethylolpropane ethoxylate average Mₙ ~1,014