상품 이미지 새창 보기

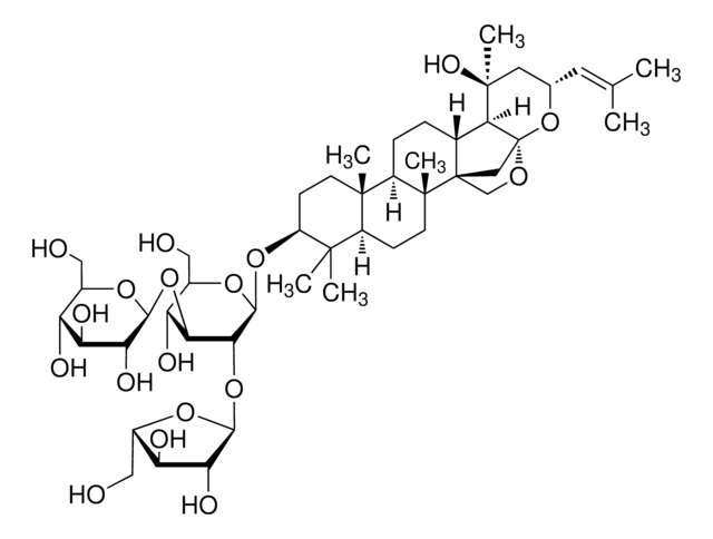
Bacoside A3 United States Pharmacopeia (USP) Reference Standard